CARA MENGHITUNG VOLUME RESIN PADA DEMIN PLANT ATAU SISTEM ION EXCHANGE
 |
| Demin Plant By Cheminusa |
|
Proses Demineralisasi atau demin plant, merupakan salah satu proses yang cukup umum digunakan dalam banyak WTP di Dunia Industri baik manufaktur, Makanan-minuman, Farmasi, maupun dalam dunia migas.
Proses demin dilakukan dengan metode Ion Exchange (Pertukaran Ion) dengan menggunan Resin Kation dan anion,sehingga ion-ion yang terdapat pada air baku (Raw Water) dapat ditangkap oleh resin tersebut sehingga keluarannya menjadi bebas dari ion (atau minimum).
Lihat Juga : Artikel Tentang Demin Plant
Nilai Elektro Conductivity atau EC atau Bisa disebut juga dengan TDS (Jika dibagi dengan 0,61) merupakan salah satu nilai parameter yang menjadi target keberhasilan proses demineralisasi.Suatu proses demineralisasi dikatakan berhasil jika dapat menurunkan nilai Conductivity atau minimum 80% atau sesuai dengan target yang diinginkan. Berikut adalah Persamaan reaksi untuk proses Ion Exchange yang kita ceritakan ini :
R-SO3H+ + NaCl ==> R-SO3Na+ + HCl (Reaksi Pada Resin Kation)
R-CH2N(CH3)3OH + HCl ==> R-CH2N(CH3)3Cl– + H2O (Reaksi Pada Resin Anion)
Kedua reaksi tersebut akan terus terjadi selama resin yang digunakan belum mengalami kejenuhan. Apabila sudah jenuh, yang ditandai dengan tidak tercapainya target TDS atau EC maka perlu dilakukan proses regenerasi. Untuk Cara dan teknik regenerasi resin akan kita bahas pada postingan selanjutnya ya 🙂
Salah satu hal yang paling penting dalam merancang sebuah demin plant adalah menentukan jumlah resin yang akan digunakan dalam proses. Kenapa Penting? Karena jumlah resin yang digunakan akan sangat menentukan jumlah air yang dapat diproduksi, kapan waktu siklus regenerasi dilakukan, serta jumlah chemical yang akan digunakan dalam proses regenerasi. Oleh karena itu, sekarang mari kita bahas bersama tentang cara menghitung resin.
Rumus Perhitungan Resin
|
Dimana :
|
|
VR
|
=
|
Volume Resin (Liter)
|
|
Q
|
=
|
Debit (m3/hr)
|
|
T
|
=
|
Lamanya Waktu Regenerasi dalam jam
|
|
TDSfeed
|
=
|
Jumlah Total Ion dalam Raw Water
|
|
TEC
|
=
|
Kapasitas Resin (40 kgr/ft3 untuk Cation dan 21,9 kgr/ft3 untuk Anion)
|
|
h
|
=
|
Efisiensi Resin (80 – 90%)
|
|
VP
|
=
|
Volume Produk (m3)
|
|
35,34
|
=
|
Faktor konversi ft3/m3
|
|
15,45
|
=
|
Faktor konversi kgr/m3
|
Cara Menentukan Jumlah Resin dalam Cation Tank Maupun Anion Tank
Resin merupakan hal yang harus diperhitungkan secara detail untuk mendapatkan hasil yang optimum. Sehubungan dengan itu, ada dua cara yang umum yang dipakai untuk menghitung jumlah resin yang digunakan. Cara untuk menentukan jumlah resin dalam ion exchange antara lain :
1. Dengan Pendekatan Target Produksi dan Lamanya Waktu Regenerasi
2. Dengan Jumlah Resin sudah ditentukan awal, baru dihitung total produksinya
Dari kedua cara diatas, sesungguhnya saya pribadi lebih senang menghitung dengan cara pertama, dan memang cara ini yang biasa saya lakukan untuk project project di Cheminusa. Karena cara pertama lebih mengikuti target dan akan senantiasa sesuai dengan target produksi pada akhirnya dibandingkan dengan cara kedua. Untuk itu mari kita bahas yang nomor pertama saja ya :
Menghitung Volume Resin, Berdasarkan Target Produksi
Penentuan Volume resin berdasarkan target produksi, berarti volume resin yang kita sediakan dalam tangki kation ataupun anion dihitung berdasarkan jumlah debit air yang ingin dihasilkan.
Untuk kapasitas resin biasanya dapat diketahui dari Specification data sheet yang disediakan oleh supplier. Semakin tinggi nilai kapasitasnya, maka semakin baik resin tersebut dalam menukar ion.
Dalam literatur biasanya disebutkan kapasitas untuk resin Kation adalah 39 sedangkan kapasitas resin anion adalah 21,9. Namun dalam dunia real dan pengalaman yang telah terbukti (Sehubungan dengan supplier sering memberi resin dari China yang berkualitas kurang baik) maka disarankan untuk resin kation dihitung di kapasitas 35, sedangkan resin anion dihitung pada kapasitas 18 (Sehingga tidak akan terjadi under design dalam pembuatannya kelak).
Contoh Perhitungan Resin
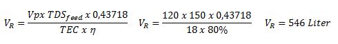
Sebuah perusahaan manufaktur menginginkan untuk dapat memiliki supplai air ber TDS rendah untuk masuk ke dalam boiler di plant mereka. Supplai yang ingin dimiliki adalah sebesar 5 m3/hr. Air tersebut dianalisa dan didapatkan nilai TDS pada air adalah 150 mg/L. Tentukanlah jumlah Resin Kation dan Anion yang digunakan? (Regenerasi pada tiap 120 m3)
Perhitungan Resin Kation
Perhitungan Resin Anion
Perhitungan Lamanya Regenerasi
Lamanya waktu regenarsi secara mudah dapat dihitung dengan membagi volume persiklus regenerasi dengan volume produksi perjam.
Lama Regenerasi = 120 / 5 = 24 Jam atau 1 hari sekali setiap regenerasi.
*Dalam perhitungan TDS feed, disarankan memakai TDS hasil perhitungan as ppm Kalsium Karbonat. Namun dalam prakteknya memang lebih mudah jika memakai TDS as mg/L (Menggunakan TDS meter)
** nilai Efisiensi Resin dapat bervariasi, namun disarankan menggunakan nilai 80% untuk resin biasa, dan 85% untuk yang bermerek (seperti dari DOW)
Demikian Bagaimana Cara menghitung Jumlah Resin dalam Proses Demin. Bagi rekan-rekan yang memiliki pertanyaan atau butuh bantuan jangan ragu untuk menghubungi kami di 0878-7373-3767.
Salam Engineer
Good Life, Clear Water